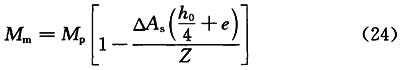
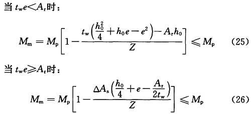
6.5 腹板开孔要求 6.5.1 本条只给出了原则性的规定。实际腹板开孔梁多用于布设设备管线,避免管线从梁下穿过使建筑物层高增加的问题,尤其对高层建筑非常有利。 6.5.2 本条提出的梁腹板开洞时孔口及其位置的尺寸规定,主要参考美国钢结构标准节点构造大样。 用套管补强有孔梁的承载力时,可根据以下三点考虑:(1)可分别验算受弯和受剪时的承载力; (2)弯矩仅由翼缘承受;(3)剪力由套管和梁腹板共同承担,即: 式中:Vs——套管的受剪承载力; Vw——梁腹板的受剪承载力。 补强管的长度一般等于梁翼缘宽度或稍短,管壁厚度宜比梁腹板厚度大一级。角焊缝的焊脚长度可取0.7t,t为梁腹板厚度。 研究表明,腹板开孔梁的受力特性与焊接截面梁类似。当需要进行补强时,采用孔上下纵向加劲肋的方法明显优于横向或沿孔外围加劲效果。钢梁矩形孔被补强以后,弯矩可以仅由翼缘承担,剪力由腹板和补强板共同承担。对于矩形开孔,美国Steel Design Guide Series 2中给出了下面一些计算公式: 1 不带补强的腹板开孔梁最大受弯承载力Mm按下列公式进行计算[见图6(a)]: 式中:Mp——塑性极限弯矩,Mp=fyZ(N·mm); △As——腹板开孔削弱面积,△As=h0tw(mm2); h0——腹板开孔高度(mm); tw——腹板厚度(mm); e——开孔偏心量,取正值(mm); Z——未开孔截面塑性截面模量(mm3); fy——钢材的屈服强度(N/mm2)。 图6 腹板开孔梁计算几何图形 2 带补强的腹板开孔梁最大受弯承载力Mm按下列公式进行计算[见图6(b)]: 式中:△As——腹板开孔削弱面积,△As=h0tw—2Ar; Ar——腹板单侧加劲肋截面积。 上式中带补强指的是腹板矩形开孔上下用加劲肋对称补强的情况,对其他形状的孔可以适当简化成矩形孔的情况进行处理。更多的情况详见美国Steel Design Guide Series 2。